La Teoría de la Isostasia y los Puentes Intercontinentales fueron teorías que generaron un gran debate científico durante los últimos siglos. Como consecuencia de la nueva geografía que se derivó con el descubrimiento de América, comenzaron a organizarse numerosas expediciones trans-oceánicas que surcaron los mares del mundo.
Muchas de ellas tenían objetivos meramente expansionistas, sin embargo otras tenían un componente científico, que permitieron recolectar gran cantidad de información y especies botánicas como zoológicas y paleontológicas que contribuyeron a un mejor conocimiento de la naturaleza del planeta.
El inventario de los organismos condujo al reconocimiento de una patente similitud entre las especies contemporáneas, tanto fósiles como actuales, de la flora y fauna de los continentes muy alejados en la actualidad.
Éste era el caso de las relaciones de semejanzas de diferentes grupos biológicos, por ejemplo: la flora permo-carbonífera y los reptiles permo-triásicos de Sudáfrica, Sudamérica, India y Antártida por un lado, o los dinosaurios pérmicos y los gasterópodos de Eurasia y Norteamérica, por lo que hacía impensable el planteamiento de orígenes distintos en lugares diferentes.
Esto llevó a los científicos a expresar la necesidad de una estrecha relación física entre las masas continentales para poder explicar dicha similitud mediante migraciones terrestres en épocas pasadas.
Así dentro de la indiscutible concepción fijista o de permanencia geológica, nació la idea de los Puentes Intercontinentales.
De esta forma, se permitía el intercambio de organismos, incluyendo las migraciones humanas entre zonas muy alejadas en la actualidad, separadas por las grandes extensiones oceánicas.
Paralelamente, y producto de otras expediciones científicas, se descubrió lo que posteriormente se llamaría Isostasia, y que habría tenido un significado trascendental frente a la idea de las conexiones terrestres.
Puentes Intercontinentales
Las primeras propuestas sobre las conexiones continentales se empezaron a hacer en la segunda mitad del siglo XVII.
En ellas se intentaba explicar especialmente el poblamiento humano de Norteamérica, bien a través de mares helados, o mediante auténticos puentes terrestres.
De acuerdo con esta hipótesis, la gran mayoría de los puentes no habrían sido permanentes sino episódicos. Esto se hacía evidente puesto que ya no existían como tales, a excepción de casos muy concretos en forma de istmos geográficos, como el de Panamá o Bering, por ejemplo.
Con el tiempo se llamarían también, precisamente con esta referencia, eslabones ístmicos. Así, pues, debían de haberse hundido en las cuencas oceánicas grandes volúmenes de materiales continentales, hundimientos asociados generalmente bien con movimientos eustáticos bien con cataclismos, como una reminiscencia más de la filosofía catastrofista clásica. En la Figura 1, se puede observar una representación de Le Danois de 1938 el concepto de los puentes intercontinentales.
Por otro lado, este fenómeno tenía que haber sido, además, cíclico. Es decir, la gran mayoría de las conexiones terrestres se habrían formado y hundido repetidamente, explicándose así las similitudes biológicas de diferentes épocas en la historia de la tierra, y permitiéndose al mismo tiempo el aislamiento geográfico durante largos períodos.
Las ideas básicas de la hipótesis de los puentes intercontinentales serían desarrolladas con posterioridad principalmente por Suess entre 1855 y 1909, en todos sus aspectos paleogeográficos más fundamentales.
La incorporación de esta hipótesis a su obra cumbre, La Faz de la Tierra, hizo que permaneciera arraigada entre paleontólogos, biólogos y biogeógrafos en general, hasta bien entrado el siglo XX.
En las décadas siguientes, algunos autores, cuyas aportaciones a sus respectivos campos han tenido una cierta relevancia, siguieron manteniendo la existencia de las conexiones terrestres.
En 1949 se celebró en Nueva York un simposio en el que se analizaron tanto las ideas a favor como las contrarias sobre las conexiones terrestres en el Atlántico Sur, especialmente durante el Mesozoico.
Una de las pocas cosas que quedaron claras en dicho simposio fue la existencia de las dos corrientes opuestas, incluyendo la oposición también frente a la alternativa geológica a los puentes terrestres, la deriva continental.
Teoría de la Isostasia
El término Isostasia procede de las palabras griegas «iso» y «stasis» que podemos traducir como «estado de equilibrio». Este término fue introducido por primera vez en 1882 por el geólogo Clarence E. Dutton, aunque se tiene constancia de que algunas cuestiones concernientes al equilibrio de la corteza terrestre fueron estudiadas desde los tiempos del Renacimiento.
La Isostasia es un proceso mediante el cual la elevación de la superficie terrestre se ajusta o modifica, como respuesta a cambios en la distribución de masa a profundidad, o sobre su superficie, para alcanzar un estado de equilibrio en donde la presión litostática es uniforme a una cierta profundidad.
La manera en que el material se distribuye a profundidad depende de la rigidez flexural de los materiales que constituyen la corteza terrestre en un sitio determinado.
En la Figura 2, podemos observar un modelo comparativo con bloques de madera del estado de equilibrio que se alcanza con la teoría de la Isostasia.
El equilibrio isostático puede romperse, por un movimiento tectónico, la fusión de un casquete glaciar, el vulcanismo, la sedimentación y la erosión.
La isostasia es fundamental para el relieve de la Tierra. Los continentes son menos densos que el manto, y también que la corteza oceánica. Cuando la corteza continental se pliega, acumula gran cantidad de materiales en una región concreta.
Como consecuencia de estos desequilibrios, aparecen fuerzas verticales que tienden a restaurar el equilibrio, las cuales trabajan para balancear las cargas, de modo que a una cierta profundidad de compensación sean lateralmente iguales.
Los primeros mapas de anomalías isostáticas residuales (AIR) se realizaron por los geodestas debido a su interés por intentar verificar la existencia del principio de la isostasia, las leyes y detalles que regulaban el proceso.
Actualmente los estudios en esa línea de investigación siguen su curso intentado verificar el mecanismo de compensación isostática más adecuado para una zona determinada.
Una segunda línea de investigación emplea las anomalías isostáticas residuales para conocer la geología de la corteza.
Modelos de Isostasia
Los mapas de anomalías de Bouguer, presentan en general, valores negativos bajo las zonas continentales elevadas y positivos en zonas oceánicas.
En las regiones costeras eran próximas a cero, lo que indujo a pensar que debe existir un déficit de densidad bajo zonas elevadas y un exceso bajo zonas oceánicas.
Las teorías isostáticas intentan explicar esta distribución irregular de densidades en la litosfera que nos lleva a suponer un comportamiento no rígido de ésta.
Diversos autores establecieron diferentes modelos que intentaban explicar el comportamiento isostático en la litosfera, sin embargo, de entre todos, cabe destacar los tres principales:
Modelo de Pratt-Hayford
En este modelo se considera un nivel de compensación a una cierta profundidad H, por encima del cual todas las masas deben ser iguales.
Para representar el modelo se toman prismas de litosfera en los que la densidad de compensación va variando en función de la profundidad para llegar al equilibrio de las masas.
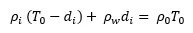
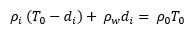
En este modelo hay que calcular el exceso o déficit de densidad en la base de la corteza (suponiendo que se extiende a una profundidad constante) para cada zona no situada al nivel del mar (por encima o por debajo). En la Figura 3, se observa una representación esquemática del Modelo de Pratt-Hayford.
La condición de equilibrio isostático para cada columna será:
En los continentes:
En los océanos:
Modelo de Airy-Heiskanen
En este modelo se asume que cada fragmento de litosfera está en equilibrio hidrostático. Supone una densidad homogénea del material litosférico, de manera que el equilibrio de cada prisma litosférico se consigue hundiendo en mayor o menor medida sus «raíces» en el manto astenosférico.
En la compensación local hay que calcular el espesor de la corteza bajo cada rasgo topográfico, es decir, hay que establecer la geometría de raíz.
Para ellos es necesario asumir una profundidad media de la corteza justamente por debajo del nivel del mar. En la Figura 4, se observa una representación esquemática del Modelo de Airy-Heiskanen.
La condición de equilibrio isostático para cada columna será:
En los continentes:
En los océanos:
Modelo Regional de Vening-Meinesz
Los dos modelos anteriores asumen que el mecanismo de compensación se realiza de manera local. El modelo de Vening-Meinesz propone un comportamiento regional para el ajuste isostático de la litosfera introduciendo el concepto de parámetro R o grado de regionalidad.
En este modelo la litosfera responde de manera flexural para soportar las cargas topográficas. En la Figura 5, se observa una representación esquemática del Modelo de Vening-Meinesz.
La Isostasia en el siglo XX
Independientemente del modelo, la aceptación del principio de la isostasia hacía muy difícil seguir sosteniendo la existencia de los puentes intercontinentales.
El equilibrio isostático requerido hacía imposible, no ya la presencia de los puentes terrestres, sino su desaparición mediante hundimiento.
Además, no aparecían por ningún sitio los restos de tales cataclismos, aunque algunos los quisieron ver en la dorsal mesoatlántica tras su descubrimiento por el Challenger durante la citada expedición oceanográfica a finales del siglo XIX.
A principios del siglo XX, Alfred Wegener se enfrentó directamente a esta hipótesis de las conexiones terrestres a través de su teoría de la deriva continental.
La migraciones eran fácilmente explicables si los continentes hubieran estado unidos en el pasado formando la Pangea, y por lo tanto ya no eran necesarias dichas conexiones.
Una de las bases sobre las que se apoyaba Wegener era precisamente la isostasia. Ante los problemas geodésicos que debía resolver, Wegener, muy hábilmente, propuso una solución ecléctica en este sentido: aceptaba el modelo de Airy para las cadenas montañosas, y el modelo de Pratt para la transición hasta los fondos oceánicos.
Como es bien conocido, la dificultad de explicar la fuerza necesaria para los desplazamientos continentales hizo que buena parte de los científicos de los tierra se opusieran a la deriva continental, y en consecuencia se siguieran defendiendo los puentes terrestres.
Estudios oceanográficos iniciados durante la segunda década del siglo XX establecieron que la isostasia podía aplicarse por igual tanto a los fondos oceánicos como a los continentes, de acuerdo al modelo de Vening Meinesz.
Esto era definitivo para desechar la hipótesis de los puentes intercontinentales debido esencialmente a la imposibilidad física de su existencia.
Sin embargo, las importantes observaciones fueron en muchos campos ignoradas en contra de todas las evidencias geofísicas. Por otro lado, los estudios de tomografía sísmica, considerados aisladamente, en principio apoyaban el modelo de Airy.
Sólo la emergencia de la Tectónica de Placas a finales de los años 60 consiguió modificar la visión del planeta de una forma global, “destruyendo” todas las pruebas irrefutables sobre la existencia de los puentes intercontinentales.
Fuente:
- García, C. Puentes Intercontinentales e Isostasia: Aspectos Históricos y Didácticos. Enseñanza de las Ciencias de la Tierra (1998).
- Balderas, R. Isostasia y la Estructura Cortical en el Margen Continental del Occidente del Golfo de México. Tesis de Maestría. Centro de Investigación Científica y de Educación Superior de Ensenada. Ensenada, Baja California, México (2006).
- Colaboradores de Wikipedia. Isostasia. Wikipedia, la enciclopedia libre (2020). https://es.wikipedia.org/wiki/Isostasia
- Tarbuck, E. y Lutgens, F. Ciencias de la Tierra 8va. Edición. Pearson Education. Madrid, España (2005).
Si te ha gustado este artículo y sientes que aporta valor, te invitamos a compartirlo en tus redes sociales preferidas, así nos ayudas a difundir información a todo a quien pueda interesar. Si tienes alguna duda, comentario o sugerencia, puedes dejarlo abajo en la sección de comentarios. ¡Nos interesa tu opinión!










Cual es la razón del movimiento rotación al de la Tierra o de cuerpos celestes o estelares